太阳成集团tyc122cc

喜报|公司师生在第16届大广赛中取得佳绩!

发布日期:2024-09-26 16:37 点击量:

16届全国老员工广告艺术大赛获奖情况近日公布,公司在此次大赛中再创佳绩!国家级获奖4项,其中,二等奖1项、三等奖1项、优秀奖2项。省级获奖106项,其中,一等奖5项、二等奖17项、三等奖31项、优秀奖53项。另外,刘菁茹、刘艳、李吕琪、庞浩、宋罕、牛锦蓉、杨艳、崔璨老师荣获陕西赛区“优秀指导教师”称号,田旭锋老师荣获陕西赛区“优秀组织工作者”称号,公司荣获陕西赛区“优秀院校”。


国家级获奖名单


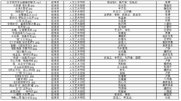
省级获奖名单



近年来,公司始终致力于教学模式改革的探索,为强化员工专业核心技能,学院教师、学子秉持“以赛促教、以赛促学”的教学理念,积极参加各类学科竞赛,为广大学子提供了一个展现自我、锻炼能力的广阔舞台。

今年,无论是从参赛人数的增加,还是参赛作品的质量与创意上,都充分展现了公司师生极高的参与热情与不懈追求卓越的精神风貌。这些作品不仅展现了员工们扎实的专业基础,更体现了他们敏锐的观察力、独特的思考方式和创新的实践能力,荣誉的获得既是对员工个人能力的认可,也是对公司教学质量的肯定。




全国老员工广告艺术大赛作为教育部认定的全国性的56个比赛项目之一,自2005年第一届至今,遵守“促进教改、启迪智慧、强化能力、提高素质、立德树人”的竞赛宗旨,已成功举办16届,全国共有1869所高校参与其中,超过百万员工提交作品,是迄今为止全国规模最大、覆盖高等院校广、参与师生人数多、作品水准高、受高校师生欢迎、有较大社会影响力的全国性高校学科竞赛。